News & Events

News & Events

multimode
We present a novel cavity QED system in which a Bose-Einstein condensate (BEC) is trapped within a…
Happy Halloween!
Alicia and Nate are ready to trick-or-treat!
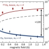
Fermionic suppression of dipolar relaxation
We observe the suppression of inelastic dipolar scattering due to Fermi statistics in ultracold…
Dr. Mingwu Lu
Congratulations to Mingwu!  Dr. Mingwu Lu defended his thesis June 2014 and is now a postdoc…
Dr. Naides
Matt Naides just defended his Ph.D. thesis! Way to go Dr. Naides!
Dy Feshbach resonances
We report in this Phys. Rev. A Rapid paper (arXiv) the observation of resonance-like loss in the…
Reconfigurable cryogenic atom chip
Paper on the reconfigurable atom chip trapping of atoms near cryogenic materials published in Appl…
Dy SO-coupling proposal
Lev and theory collaborators publish paper in PRA Rapid Communications on creating …
World's first dipolar Dy DFG
PRL announcing world's first dipolar Dy DFG selected as Editors' Suggestion, and featured in…
Lev wins DARPA YFA
Lev wins DARPA Young Faculty Award YFA!